|
压装良品率卡在95%上不去?问题可能出在控制系统

很多工厂的压装工序卡在同一个瓶颈:良品率到95%就上不去了。
不是机械结构不行,不是工件公差太大,而是控制系统不够精细。
压力大了,工件变形;压力小了,压不到位。靠人工调参数,今天一个样明天一个样。
简思科技的伺服压机控制系统,把这件事变成了一道数学题——压力闭环+位移闭环,双管齐下,精度控制在±0.5%。
控制系统:伺服压机的"神经中枢"

伺服压机和传统液压压机的本质区别,在于控制系统。
液压压机靠阀调压力,响应慢、精度低、油温一高就不稳定。伺服压机靠电机+编码器+传感器,控制精度和响应速度完全不在一个量级。
但前提是——控制系统得跟得上。
简思科技自主研发的中文PLC伺服压机控制系统,核心架构如下:
控制器层——采用简思科技国产PLC作为主控单元,负责工艺逻辑运算、运动控制指令下发、数据采集与存储。
驱动层——连接伺服驱动器,通过脉冲或总线方式控制伺服电机,实现位置、速度、扭矩的精确控制。
传感层——压力传感器实时采集压装力,位移传感器(光栅尺或编码器)实时采集压头位置,数据反馈至PLC进行闭环运算。
交互层——HMI触摸屏显示实时压力-位移曲线,参数设置、配方管理、数据追溯一站式完成。
四层架构,一套系统,全部由简思科技自主完成。
系统解决方案:不止是控制,是工艺数字化

简思科技为伺服压机提供的不是"控制器+电机"的简单组合,而是完整的系统解决方案:
压力闭环控制
压力传感器实时采集压装力,PLC以1ms周期进行PID运算,动态调整伺服电机输出扭矩,压力波动控制在±0.5%以内。
位移闭环控制
位移传感器实时反馈压头位置,PLC根据设定行程精确控制压装深度,重复定位精度±0.01mm。
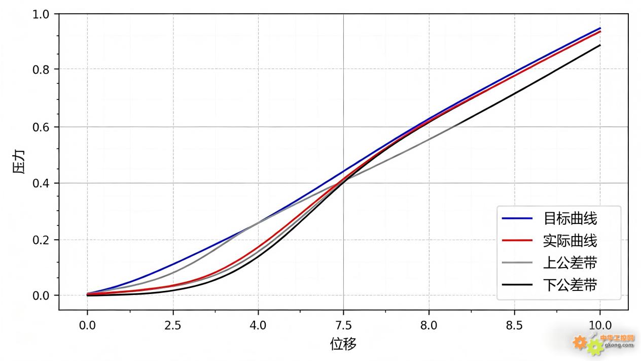
压力-位移双闭环
这是核心能力。压装过程中,压力和位移同时监控,任意一个参数超出设定范围即判定NG。既保证压装力达标,又保证压装深度准确。
工艺配方管理
不同工件对应不同压装参数(压力、速度、行程、保压时间),配方存储在PLC中,切换产品时一键调用,无需重新调试。
数据追溯与MES对接
每次压装的压力-位移曲线、判定结果、时间戳自动存储,支持USB导出或通过网络上传至MES系统,满足汽车行业IATF 16949的追溯要求。
应用场景:精密压装的各个战场

伺服压机控制系统的价值,在于它能适配不同行业的压装工艺:
汽车制造——轴承压装、衬套压装、齿轮压装,压力位移双闭环保证每一压都合格
电机制造——转子压装、轴承压入、端盖装配,高精度位移控制防止过压损伤
3C电子——连接器压接、按键装配、屏幕贴合,微小压力控制避免精密元件损坏
五金加工——铆接、压印、校形,多段速度控制适应不同工艺阶段
新能源——电池模组装配、端子压接、结构件压装,数据追溯满足行业合规要求
简思科技的中文PLC方案,一套系统覆盖上述所有场景,通过更换工艺配方即可快速切换。
中文编程:让控制系统真正"可控"
很多工厂买了伺服压机,但控制系统是英文界面、英文程序,电气工程师看不懂、改不了、出了问题只能等厂家来。
简思科技的国产PLC从根上解决这个问题——全中文编程环境。
压装逻辑用中文写:"如果压力大于上限,则停止并报警";"如果位移未达标,则继续加压"。一线电气工人看得懂、能修改、会排查。
这不是"好用不好用"的问题,是"能不能自主掌控"的问题。
压装工艺的终点,不是把零件压进去,而是每一次都压得一样好。
简思科技伺服压机控制系统,用中文PLC+国产PLC的自主方案,让压装工艺从"经验驱动"变成"数据驱动"。
压力可控、位移可控、质量可追溯——这才是精密压装该有的样子。
更多行业解决方案上简思行业解决方案平台获取:https://jena.xin/
|